검색결과 리스트
글
우시장(2)
우시장(2)
우리는 시장을 만든다(2)
관성적 교육이 관리자를 만들 때, 관성적 시장은 기업가를 만들어 냅니다.

이번 호에서는 사회적 가치의 측정을 둘러싼 그간의 다양한 논의를 전혀 다른 각도에서 접근하는 시도를 소개하고자 합니다. 우리 센터가 찾고 있는 시장 만들기의 기업가 정신과 상응하는 접근법이기도 합니다. 바로 석승훈 교수의 관점입니다.
글 석승훈 교수
우리에게 필요한 통찰과 상상: 사회적 증권 시장
들어가며
사회적기업(Social Enterprise)은 사회적 목표를 추구하는 기업으로 이해된다. 우리나라의 사회적기업육성법에 따르면, 사회적기업이란 취약계층에게 사회서비스 또는 일자리를 제공하거나 지역사회에 공헌함으로써 지역주민의 삶의 질을 높이는 등의 사회적 목적을 추구하면서 재화 및 서비스의 생산, 판매 등 영업활동을 하는 기업으로 정의되며, 정부의 인증을 받아야 법적으로 사회적기업의 지위를 얻는다. 비슷하게 OECD(1999)에서도 사회적 기업을 취약자 그룹에게 노동의 기회를 제공하며 재화와 서비스를 제공하는 것을 목표로 하는 기업으로 보고 있다.
사회적기업이란 영리기업과 비영리기업의 중간 형태로 간주할 수 있다(한국사회적기업진흥원, 2020). 이익을 추구한다는 점에서 일반 (영리)기업의 측면이 있고, 동시에 사회적 가치를 추구한다는 점에서 비영리기업의 측면이 있다.
사회적기업의 본질적인 문제 중 하나는 생존의 문제라고 할 수 있다. 일반 영리기업의 경우, 오로지 이익을 추구하면서도 경쟁에 밀려 생존에 위협을 느끼는 경우가 많은데, 사회적 목표를 동시에 추구하는 사회적기업의 경우에는 출발선에서부터 경쟁력에 열위에 있기 때문이다. 그러한 까닭에 많은 사회적기업들이 자생력이 없이 정부의 보조금에 과도하게 의지하는 경우가 발생한다.
한편 사회적기업의 자생력을 돕기 위해 세계적으로 사회적증권시장이라는 제도가 고려되고 있으며, 브라질, 남아프리카공화국, 싱가폴, 캐나다, 영국 등이 대표적으로 도입했거나 고려 중인 나라로 알려져 있다(정은희, 2009). 이러한 사회적증시는 사회적 가치에 공감하는 투자자들이 사회적기업의 펀딩에 참여하도록 장을 마련하는 것을 목표로 한다. 펀딩은 기부금의 형태로 자금을 모집하는 형태가 있을 수 있고, 또 다른 경우(예: 싱가폴, 캐나다, 영국)로는, 일반 주식시장과 마찬가지로 사회적 기업이 발행한 주식이나 지분에의 투자로서 자금을 모집하는 형태가 있다. 후자의 방법에 참여한 투자자는 일반 주주와 마찬가지로 사회적 기업의 주주가 되는 것이며, 내용상 일반 주식시장과 동일하다. 다만, 사회적증시라는 제도를 통해 투자자에게 별도의 관심을 유도한다는 점에서 차별성이 있다.
자금 조달의 두 방법은 각각의 의미가 있긴 하지만, 이 글에서는 후자에 집중해서 논의하고자 하며, 사회적증시의 설계에 대해 하나의 제안을 하고자 한다. 이를 위해 일반 주식시장에 대한 고찰에서 시작하고자 한다.
주가: 통찰
재무 교과서에서 주식의 가격은 다음과 같은 개념적 틀 안에서 이해된다. 우선 기업의 가치는 채권가치와 주식가치의 합으로 이해된다. 이를 수식으로 표시하면 다음과 같다. V0는 기업가치, D는 채권(채권자)가치, E는 주식(주주)가치를 나타낸다.
V0 = D + E
혹은 V0 - D = E
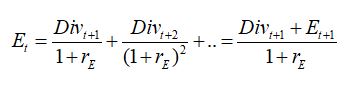
기업가치는 기업이 미래에 벌어 들일 수익을 현재의 시점에서 평가한 것이며, 채권가치나 주식가치도 마찬가지로 각각 채권자나 주주에게 돌아갈 수익을 평가한 것이다. 물론 현실적으로 주가는 주식시장내의 수요와 공급에 따라 변화하겠지만, 위의 등식은 주가에 대한 기본 개념 혹은 내재가치의 의미로 이해된다.
그러나 위 식은 어느 정도 진실일까? 위 식이 의미하는 것은 기업가치는 자본가인 채권자와 주주에게 배분된다는 것이다. 즉 기업은 채권자와 주주 만의 것이다. 기업의 다른 이해관계자는 배제된다. 이는 무엇보다 기업의 법인격에 대한 부정에서 출발한다. 기업은 법인격을 지닌 존재로서, 기업가치란 누구의 것이 아니라 기업 자체의 것이다. 그리고 법인으로서 기업의 가치는 궁극적으로 다양한 이해관계자에게 배분될 가치인 것이지 자본가에게만 배분되어야 하는 가치는 아니다.
재무 교과서 속 등식은 기업의 법인격을 무시하고 기업가치를 오로지 자본가 그룹에게만 귀속시키려는 인식을 반영하는 것이다. 이 인식하에서만 기업 내부에 간직된 가치가 자본가의 가치와 동일시될 수 있고, 현재의 주가는 그렇게 계산되고 거래된다. 교과에서는 그러한 인식을 불변의 과학인 듯 서술하겠지만, 그 인식은 하나의 내러티브에 불과하다. 금융시장에서 주식과 파생상품의 평가와 거래는 그 내러티브를 바탕으로 행해지는 하나의 금융 의례(ritual)인 것이다.
주가는 금융 의례 속에서 형성되고 내러티브를 끊임없이 참조하고 의지한다. 그렇다면 주가는 진실된 주식의 가치를 반영하는 것이라기 보다는, 지수(index)와 마찬가지로 일종의 허구적인 가상의 숫자인 것이다. 주가는 지수이고 주식은 이 지수를 중심으로 거래된다.
사회적증권: 상상
주식이 하나의 내러티브의 산물이라면, 다른 내러티브로 또 하나의 증권을 만들 수 있을 것이다. 이를 사회적증권(이하 사권)이라고 부르자. 아래에서 V*는 기업가치, S는 사회가치, C는 자본가가치이다(석승훈, 2014). 자본가가치는 채권가치와 주식가치의 합으로서 재무 교과서에서 기업가치라고 명명된 부분이다.
V * = S+C
C ( = V0) = D + E
위 식에서 중요한 요소는 자본가가치 C에 추가될 부분인 사회가치 S이다. S에 무엇을 담느냐에 따라 서로 다른 증권을 상상할 수 있다. 가장 포괄적인 기업가치는 각 이해관계자에 돌아갈 몫을 모두 합산한 가치, 즉 법인으로서의 기업가치가 될 것이다. 그러나 여기서는 새로운 증권의 내러티브를 제안하는 것이므로 하나의 개념만으로 증권을 제한할 필요는 없을 것이다.
이 글에서는 논의의 편의상 노동자가치와 주식가치에 초점을 맞추고자 한다. 노동자가치를 L로 표시하면, L은 사회가치 S의 일부이다. 아래에서는 논의의 편의상 마치 기업가치가 노동자가치와 주식가치로만 구성되는 것처럼 생각하고자 한다. 혹은 다른 이해관계자 가치는 좌변의 기업가치(V*)에서 차감하면 우변에는 노동자가치(L)와 주식가치(E)만 남게 되므로 그것을 기준으로 생각하여도 무방하다.
V = L + E
여기서 V는 노동자가치와 주식가치의 합으로 표현된 기업가치를 의미한다. 위의 등식으로부터 다음을 알 수 있다.
V = V* - [(S – L) + D] = V0 – D + L
여기서 고려하고자 하는 사권은 바로 이 주식가치와 노동자가치가 일체화된 증권을 의미한다. 이러한 사권에 주목하는 첫번째 이유는 기업가치를 기업내부자의 가치라는 관점에서 보는 것이 의미가 있기 때문이다. 여기서 기업내부자라 함은 기업의 노동을 제공하는 노동자와 자기 자본을 제공하는 주주를 지칭한다. 물론 주주는 투자자로서 외부인으로 볼 수도 있지만, 기업 내부의 자본을 제공한다는 측면에서 내부자로 간주하고자 한다. 또 다른 이유는 많은 사회적 기업이 고용기회의 창출이라는 사회적 가치에 중점을 두기 때문이다. 그래서 모든 이해관계자를 고려하는 것은 아니지만 주식에서 한걸음 나아간 새로운 증권을 상상한다는 측면에서 편리한 확장이라고 생각한다. 더 확장된 사회적 증권을 상상하고자 한다면 동일한 방법으로 이해관계자 가치를 추가해 나가면 된다.
이제 사권은 주식가치에 노동자가치가 합산된 가치인 사회적가치를 반영하는 증권이 된다. 기업은 주식을 발행하는 대신 사권을 발행하게 될 것이며, 사권은 주식을 대체할 것이다. 사권은 사회적가치를 지수로 하여 가격이 매겨지고 거래될 증권이다. 주식이 교과서의 주식 가치를 지수로 하여 가격이 매겨지고 거래되는 것과 동일한 이치이다.
사회적증권: 내러티브
사권의 성격에 대해 의문을 가질 수 있다. 사권투자자는 주주로서 주식을 소유함으로써 그에 따른 현금 흐름을 얻을 수 있다. 그런데 노동자가치는 임금이라는 현금 흐름으로 표현되고 이는 노동자에게 지급될 것이기 때문에 사권투자자에게 직접 귀속되는 가치가 아니다. 그럼에도 사권투자자가 노동자가치의 증가로 이익을 볼 수 있을까?
바로 이 점 때문에 주가 역시 하나의 지수라는 사실이 중요해진다. 주가는 진정으로 주주가 가져갈 몫을 계산한 결과로 나온 것이 아니다. 상상의 내러티브 속에서 주주에게 귀속될 몫을 계산하고 그것을 기준으로 주가가 계산되는 것이다. 더 나아가 지수에 기반을 둔 지수옵션이나 지수선물과 같은 투자를 생각해 보자. 이들 투자자에게 귀속되는 가치는 그저 계산된 지수의 변화에 따른 차익이나 차손을 약속된 규칙대로 계산하는 것일 뿐이다. 우리에게 필요한 것은 주가 역시 이러한 지수와 다르지 않다는 점을 인지하는 것이다. 중요한 것은 약속이고 그 약속하에서 투자와 거래가 이행된다는 내러티브인 것이다.
사권가치가 형성될 때, 노동자가치는 노동자에게 돌아갈 임금을 사권투자자가 가져가는 것을 전제로 하는 것이 아니라, 노동자가치 자체를 지수로 하여 사권가격에 반영되면 되는 것이다.
사권은 이렇게 노동자가치와 주시가치가 합해진 가격으로 거래될 것이다. 사권투자자는 이제 주주로서의 이익에만 집착할 필요 없이 노동자에게 돌아갈 가치 역시 그들에게는 중요한 이익의 원천이 된다. 주가가 미래에 주주에게 귀속될 것으로 상상되어진 가치의 현재가치로 계산되듯이, 노동자가치는 미래에 노동자에게 귀속될 것으로 상상되어질 가치의 현재가치로 계산될 것이다.
주주의 가치는 노동자에게 돌아갈 가치를 줄여서 증가할 수 있지만, 사권투자자의 가치는 그렇게 해서는 가치를 증가시키지 못하거나 어려울 것이다. 사권투자자의 이해관계는 주주가 아니라 주주와 노동자 전체의 이해관계와 일치한다. 당기 순이익을 희생해서 노동자의 몫을 증가시키는 사회적 기업에게, 순수한 주주는 투자를 꺼려하겠지만 사권투자자는 기꺼이 투자할 수 있다. 주식이 주가라는 지수에만 의존한 반면, 사권은 주가와 노동자가치라는 두 지수의 합에 의존한다는 점이다.
사회적기업에게 자금이 투자되게 하기 위해서는, 사회적기업의 주식을 발행하는 것으로는 부족하다. 주주는 이익을 요구하지만, 사회적기업은 태생적으로 이익과 갈등할 수 있는 사회적가치를 추구하기 때문이다. 주주의 이익이 아니라 사회적가치로부터 투자 수익을 얻을 수 있어야만 더 많은 자본이 투자될 것이다. 이를 위해 새로운 내러티브에 기반한 새로운 증권이 나와야 하며, 필요한 것은 우리의 상상력이다.
사회적증권: 가치평가
사권의 가치는 어떻게 평가되어야 하는지에 대해서는 여러 방안이 존재할 수 있다. 여기서는 그 중 한 방법을 제안한다.
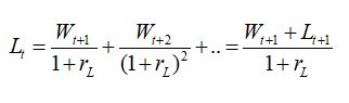
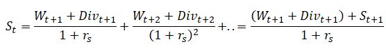
증권의 가치는 일반적으로 그 증권으로부터 얻을 수 있는 미래의 수익을 현재가치로 환산한 것이다. 배당모형에 따르면 주가는 다음과 같이 정해진다. 아래에서 Div는 주주배당, W는 노동자 임금, rX는 증권 X의 할인율을 나타낸다. 시점은 t로 표시한다. 기호를 간편히 하기 위해 E, L을 각각 개별 사권가치를 구성하는 주가와 노동자가치의 의미로도 사용한다.
E = PV(주주에게의 현금흐름)

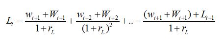
위 등식을 노동자가치에 대입시키면 다음과 같다.
L = PV(노동자에게의 현금흐름)

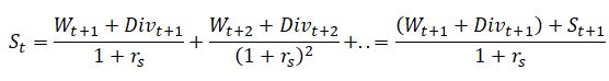
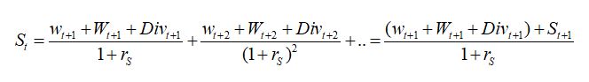
사권의 가치 St는 주가와 노동자가치의 합으로 표시된다.
St = Lt + Et

위의 두 등식을 보면 노동자가치는 주가와 동일한 형태로 결정됨을 알 수 있다. 그런데 한 가지 주의할 점이 있다. 배당은 주주에게 직접 지급되므로 주주의 수익이 되지만, 노동자가치의 경우 임금은 사권투자자에게 지급되는 것이 아니고 노동자에게 지급되는 것이다. 즉, 사권투자자에게는 직접 수익이 되지 않는다. 바로 그 점에서 일반적인 주가와 노동자가치의 차이가 있다. 그러나 앞에서 언급한 바와 같이 주가가 진정으로 주주에 귀속되는 가치를 특정하는 것이 아니라 일종의 지수임을 인지한다면, 노동자가치 역시 일종의 지수로 간주하고 거래하면 된다. 이는 마치 옵션 매수자가 배당의 혜택을 받지 못하고 주가의 변화에만 영향을 받는 것과 비슷하다.
한가지 타협점으로 노동자가치의 일정부분을 사권투자자에게 노동자분배당의 형태로 지급하는 것을 생각해 볼 수 있다. 이 경우 사권투자자에게 귀속되는 수익은 노동자분배당과 주주배당의 합과 사권가치의 합이 될 것이다. 시점 t의 배당을 받기 직전의 사권의 가치를 St-로 표현하면 이는 수식으로 같이 나타낼 수 있다. 단, wt는 t시점에서의 노동자분배당을 나타낸다.
St- = [wt + Wt + Divt] + St
배당 직후에는 사권의 가치는 배당(wt + Divt)과 임금(Wt)의 합만큼 감소하게 된다. 이는 일반 주가의 배당락의 경우와 비슷하지만, 한가지 중요한 차이점은 임금은 사권투자자에게 지급되는 것이 아니라는 점이다.
이 때 (배당 직후의) 노동자가치와 사권 가치는 각각 아래와 같이 나타낼 수 있다.


한편, 배당 전후의 사권가치 식을 살펴보면 노동자에게 지급되는 임금을 줄이는 것이 사권투자자에게 이익이 되므로, 사권이 반드시 노동자가치를 위하는 것이 아닐 수도 있음을 주장할 수 있다. 이 주장은 배당락의 관점에서만 보았을 때는 아주 틀린 말은 아니다. 그러나 다음의 두 가지 측면을 고려해 보면 사권이 주식보다 우월하다고 할 수 있다. 첫째, 주식과 비교해 봤을 때 주가 역시 임금을 줄이면 주주에게 이익이 된다는 측면에서 사권이 주식보다 열등할 수는 없다. 둘째, 당장의 배당락 측면에서는 임금을 줄이는 만큼 사권가치의 하락폭이 줄어드는 것은 맞지만, 다음 기 이후의 임금 지급 역시 줄게 된다면 노동자가치가 감소하여 사권가치 역시 하락할 것이므로 주식에 비해 노동자가치의 보존에 더욱 신경 쓰게 될 것이다. 더욱이 노동자에 대한 임금지급 설계는 연초에 정해지는 경우가 많다. 따라서 연말에 임금 지급을 임의로 줄여 사권가치를 증가시키는 것에는 한계가 있을 것이다.
맺음말: 사회적가치의 자본화
사권투자자는 주주와는 다르게 노동자가치가 증가할 때에도 이익을 얻게 되므로 사권을 통해 주주와 노동자 사이의 갈등을 자연스럽게 완화시킬 수 있다. 사회적기업이 주식을 통해 자금을 조달할 경우에는 자금을 조달한 이후에 주주의 가치 증대와 사회적 가치 증대 사이에는 갈등이 존재할 수 밖에 없다. 이는 당연히 자금 조달의 어려움을 의미하기도 한다. 이에 비해 사권은 투자자에게 기업의 이익뿐 아니라 사회적가치의 증대를 통해서도 투자가치를 올릴 수 있기 때문에 상대적으로 투자가 용이하다고 볼 수 있다. 또한 주주에게 사회적 가치에 대한 공감을 요구할 필요도 없다.
또한 현재의 관행은 배당되지 않고 기업에 유보된 이익은 주주의 몫으로 간주하고 있으나, 사회적증권의 내러티브 아래에서는 주주와 노동자의 갈등이 줄어들면서 유보된 자금을 주주의 몫으로 주장할 필요가 줄어들게 될 것이다. 이는 주식회사의 법인성에 더욱 충실한 내러티브가 될 것이다.
사권은 사회적가치를 자본화시킴으로써 사회적가치와 자본투자 간의 타협을 도모한 증권이다. 비록 사권이 사회적가치의 본래의 의미를 충분히 살린 것은 아닐 수 있지만, 현실적으로 투자자금의 조달을 용이하게 하며 주식가치와 사회적가치의 갈등을 완화시킨다는 점에서 중요한 의의가 있다고 본다.
참고문헌
1. 석승훈(2014), 경영학 무엇을 말해야 하는가(위즈덤하우스)
2. 정은희(2009), 사회적 증권거래소(사회적증시)설립 방안 연구, 사회적기업연구 2(2), (2009.12): 86-104.
3. 한국사회적기업진흥원(2020), http://www.socialenterprise.or.kr/kosea/social_enterprise_intro.do?dep1_kind=1.
4. OECD(1999), https://www.oecd.org/cfe/leed/socialenterprises.htm.

'News > 벤처경영기업가센터이야기' 카테고리의 다른 글
| 시장 읽기(10) (0) | 2020.07.29 |
|---|---|
| 시장읽기(11) (0) | 2020.07.29 |
| 꽃잎이 떨어지는 속도 (2) (0) | 2020.07.29 |
| 스누 임팩트(1) (0) | 2020.06.22 |
| NUMBERS(1) (0) | 2020.06.22 |












RECENT COMMENT